雙曲函數模型逆系統控制中大功率放大器的應用
實驗名稱:功率放大器基于雙曲函數的Preisach類遲滯非線性建模與逆控制
實驗內容:
壓電陶瓷、磁致伸縮等智能材料制備的驅動器件被廣泛應用于精密定位領域,但這些智能材料,本身所固有的遲滯非線性嚴重制約了定位系統的控制精度,并由可能導致系統不穩定。為了減小遲滯非線性對系統的不利影響,通常采用基于遲滯模型的控制方法。
本文基于雙曲函數描述Preisach類的遲滯非線性,分別采用2個雙曲函數描述遲滯主環的上升段與下降段,并通過坐標變換擬合依附于主環的一階曲線,然后根據Preisach模型的記憶擦除性與次環一致性原理,用一階上升曲線描述次環的上升段,一階下降曲線模擬次環的下降段。基于這種遲滯模型設計了逆控制器來補償壓電雙晶片驅動器的遲滯非線性,提高了定位控制的精度。
實驗過程:
為了驗證雙曲函數模型的有效性,設計了逆控制器用于壓電雙晶片驅動器的精度定位系統,實驗系統:裝有dSPACE系統的計算機通過功率放大器將驅動電壓作用在壓電雙晶片上,通過光纖位移傳感器測量壓電雙晶片的位移,并將信號傳回dSPACE板卡。為了比較控制效果并獲得遲滯模型的辨識數據,測量了壓電雙晶片驅動器在頻率為1Hz、50V峰值正弦信號作用下的響應。


控制前:
為了同時測試遲滯主環與次環的控制結果,期望采用1Hz變幅值的正弦信號。


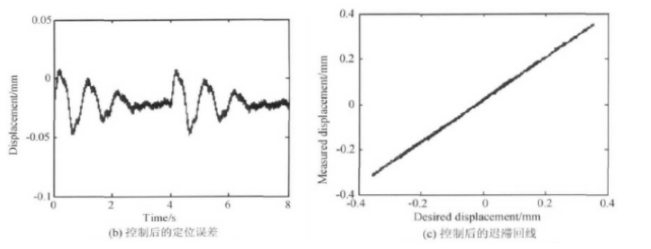
控制后:如果遲滯逆模型足夠精確,將與壓電雙晶片驅動器的遲滯非線性相互抵消,使期望位移與響應位移線性化。


實驗結果:
本文基于雙曲函數描述Preisach類的遲滯非線性,分別采用2個雙曲函數描述遲滯主環的上升段與下降段,并通過變換坐標擬合了依附于主環的一階上升與下降曲線,然后根據記憶擦除性與次環一致性描述遲滯非線性的任意次環。這種建模方法所需的模型參數遠小于經典的Preisach模型,而且參數識別容易,使用該模型的前提是雙曲函數能夠擬合遲滯非線性的主環,這適用于控制壓電驅動器等智能材料的遲滯非線性。基于該遲滯模型設計了壓電雙晶片驅動器的逆控制器,使控制后的最大定位誤差比控制前減小了44.26%,可有效抑制遲滯非線性引起的誤差。
本文實驗素材由西安安泰電子整理發布,如想了解更多實驗方案,請持續關注安泰官網m.qq1e.cn。Aigtek是國內專業從事測量儀器研發、生產和銷售的高科技企業,一直專注于功率放大器、微小信號放大器、功率信號源、功率放大器模塊、計量校準源等測試儀器產品的研發與制造。


























