電壓放大器在非共線混頻方法檢測混凝土中的應用
實驗名稱:電壓放大器在非共線混頻方法檢測混凝土中的應用
研究方向:無損檢測
測試目的:
無損檢測是在不損傷或不干擾待測物體的結構材料的情況下,對其內部損傷進行探測的方法。傳統無損檢測法在儀器攜帶,操作程序,檢測精度,損傷定位等方面有諸多不足和局限性,基于這些情況,提出了非線性超聲混頻檢測方法。當兩列入射基頻超聲波滿足特定的條件后,在具有非線性源介質傳播過程中相遇將發生諧振效應,產生第三列超聲波,即混頻波,該波包含著傳播介質材料損傷的相關參數信息。該現象的發現極大地推動了非線性超聲非共線混頻法的研究進展。根據兩列入射基頻超聲波的方向是否共線平行,可將非線性超聲混頻檢測法劃分成非共線混頻檢測法和共線混頻檢測法兩類。其中的非共線混頻檢測技術具有頻率可選、空間選擇、方向可控等明顯優勢,除了對微損傷敏感度高之外,還可通過分開激勵兩列入射聲波,采用相位反轉法,有效排除非線性源的影響,因此有巨大的研究潛力。
測試設備:ATA-2042高壓放大器、信號發生器、示波器、發射換能器、有機玻璃楔塊組等。

圖:非共線混頻測試裝置實物圖
實驗過程:
在完整混凝土非共線混頻試驗中,需要先制備混凝土試樣,然后使用信號發生器,高壓放大器ATA-2042,示波器來搭建完整混凝土非共線混頻測試裝置,接著通過計算得到一組有機玻璃楔塊角度52度和71度之后,聯系相關廠家定制得到有機玻璃楔塊組。楔塊組與混凝土試樣以及超聲波換能器兩兩之間使用超聲耦合劑凡士林粘接。

圖:非共線混頻測試裝置示意圖
確定基頻波頻率比d為0.83,PXR04換能器設置接近最優激勵參數40kHz,PXR07換能器設置激勵參數為48kHz,激勵幅值皆為150V,示波器采樣率設為5MSa/s。由于試驗儀器的限制,信號發生器激勵波形采用的是雙通道正弦波。
在能夠正常運行檢測的情況下,試驗測試過程中分別改變基頻波的頻率和幅值,研究各參數包括非線性系數之間的變化規律。且分別運用非共線混頻法和高次諧波法進行探測,這里高次諧波法主要是用來與非共線混頻法做對比,體現非共線混頻法良好的檢測效果。
實驗結果:
一、基頻頻率變化的影響

圖3:基頻頻率與各參數變化趨勢

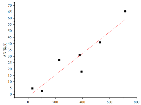
圖4:基頻頻率與A3變化趨勢
由圖3和圖4可知,保持頻率比d不變,隨著頻率w2不斷增加,A1,A2,A3幅度變化總體趨勢是增加的,中間有個別的點顯示與總體趨勢有些突兀不同,原因可能是試驗過程中儀器與試樣之間的耦合效果不好,同時混凝土是多成分復合材料,具有較強的隨機性和離散性。通過分析可知,基頻頻率的變化會導致混頻非線性系數的變化,兩者是有關系的。
二、基頻幅度變化的影響

圖5:A3與A1關系

圖6:A3與A2關系
近似的,還可以得到A3隨A1變化趨勢以及A3隨A2變化趨勢如圖5和圖6;A3隨A1變化趨勢以及A3隨A2變化趨勢都是大致增加的。混頻波和頻頻率是兩基頻頻率之和,即混頻和頻波能量接近兩基頻波能量之和,這基本符合圖中的逐漸上升的變化趨勢。
三、與高次諧波法試驗結果對比

圖7:高次諧波法試驗結果對比
由上圖可看出,無論是從敏感度系數,還是在標準差和離散系數方面,非共線混頻方法對高次諧波明顯的優勢,其非線性系數對基頻波頻率變化和幅值變化而相應的變化幅度更大,更敏感。
在相同的試驗條件下,運用高次諧波法做對比試驗,綜合敏感度系數,標準差以及離散系數等表征參數,發現相對于高次諧波法,非共線混頻法的非線性系數對基頻波的頻率和幅值變化更具有敏感性。

圖:ATA-2042高壓放大器指標參數
本文實驗素材由西安安泰電子整理發布。西安安泰電子是專業從事功率放大器、高壓放大器、功率信號源、前置微小信號放大器、高精度電壓源、高精度電流源等電子測量儀器研發、生產和銷售的高科技企業。公司致力于功率放大器、功率信號源、計量校準源等產品為核心的相關行業測試解決方案的研究,為用戶提供具有競爭力的測試方案,Aigtek已經成為在業界擁有廣泛產品線,且具有相當規模的儀器設備供應商,樣機都支持免費試用。如想了解更多功率放大器等產品,請持續關注安泰電子官網m.qq1e.cn或撥打029-88865020。
本文實驗案例參考自知網論文《基于混頻測試的混凝土非線性聲學特性的試驗研究》
原文鏈接:http://m.qq1e.cn/news/503.html


























