功率放大器在超磁致伸縮換能器孔裂紋缺陷檢測中的應用
實驗名稱: 功率放大器基于超磁致伸縮換能器的CFRP板孔裂紋缺陷檢測中的應用
研究方向:無損檢測
測試目的:驗證磁致伸縮換能器在CFRP板孔缺陷識別的有效性
測試設備: ATA-2021H高壓放大器,信號源,示波器,換能器等
實驗內容:對換能器施加掃頻信號確定換能器的最佳工作頻段,對換能器施加激勵信號,利用超聲導波檢測CFRP孔缺陷,并進行信號處理,確定缺陷位置。
實驗過程:
實驗板材為CFRP材質,邊長500mm,厚度2mm,通過信號發生器產生激勵波形,通過功率放大器放大,磁致伸縮換能器產生高能超聲信號,將PZT-5方形貼片用于信號采集,通過分析信號來判斷導波信號中包含的缺陷信息。

實驗結果:
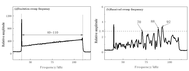
(1)掃頻可快速測試元件的頻率特性, 通過產生不間斷頻率連續變化的信號,作用于換能器,獲得不同頻率下換能器的響應特性。由于超磁致伸縮材料其工作頻率不超過100KHz,因此掃頻范圍為40-100kHz.激勵端響應信號幅度隨頻率逐漸提升呈線性增大。掃頻信號通過復合板傳播后到達接收端,由圖中課件在頻率70,80,92kHz處,信號幅值為局部峰值,為換能器的相對優選激勵頻率。
(2)通過對信號進行短時傅里葉變換的得到的最終的缺陷云圖。

放大器在該實驗中發揮的效能:驅動換能器、激勵超聲導波信號
您選擇該放大器的原因:放大器可以很好的驅動電感線圈,給電感線圈施加穩態和瞬態電流。
實驗中用到的功率放大器ATA-2021H參數指標:

最大輸出電壓200Vp-p(±100Vp,輸出電流 500mAp,帶寬(-3dB)高達DC~1MHz
本文實驗素材由西安安泰電子整理發布,西安安泰電子科技有限公司(Aigtek)是國內專業從事測量儀器研發、生產和銷售的高科技企業。Aigtek 已經成為在業界擁有廣泛產品線,且具有相當規模的儀器設備供應商。如想了解更多實驗方案,請持續關注安泰電子官網m.qq1e.cn。西安安泰電子是專業從事功率放大器、高壓放大器、功率信號源、前置微小信號放大器、高精度電壓源、高精度電流源等電子測量儀器研發、生產和銷售的高科技企業。
原文鏈接:http://m.qq1e.cn/news/308.html


























